電話:13570151199
傳真:020-39972520
郵箱:hanyan@hanyancarbon.com
地址:廣東省廣州市番禺區東環街番禺大道北555號天安總部中心30號樓6層
活性炭用來分離與吸附二氧化碳
活性炭氣體吸附是工業中用于分離和凈化目的的常用方法之一,例如空氣凈化、碳氫化合物處理以及捕獲和儲存。在氣候變化和全球變暖問題的推動下,需要對二氧化碳的分離、凈化以及捕獲和儲存進行研究。這些研究包括對使用活性炭吸附二氧化碳(CO2)、甲烷(CH4)、氮氣(N2)及其混合物。關于氣體混合物中吸附物優先吸附的信息對于優化活性炭捕獲、分離和凈化性能至關重要,這也是本次研究的意義所在。
吸附分離模擬系統
活性炭的孔隙結構是由隨機堆疊的微晶組成,碳堆之間的密閉空間趨于楔形。以前的研究還表明,楔形孔是表示活性炭不均勻性的更現實的模型。在這項工作中,評估了二元混合物在楔形孔中的吸附行為,并與實驗數據和預測值進行了比較。本次使用的兩個模擬系統是均勻狹縫孔和楔形孔。相應的示意圖如圖1所示。

圖1:兩個模擬系統的示意圖:(a)狹縫孔和(b)楔形孔。
狹縫孔由半有限狹縫孔由兩個平行的石墨壁組成。每個壁包含三個石墨烯層,如圖1(a)所示。框的虛線表示模擬框在y和z方向上的邊界。周期性邊界條件僅適用于x方向。兩個開口端與大塊氣藏相連,每個氣藏沿y軸的長度為3nm,孔隙寬度決定了z方向的尺寸。因此,通過孔內分子與體相的相互作用,可以在孔和周圍環境之間保持機械平衡。孔徑H是指通過一個壁最內層中碳原子中心的平面與相對壁的相應平面之間的距離。楔形孔在圖1(b)描繪了一個開放的楔形孔及其結構參數:小端(SH)和大端(BH)的孔徑,軸向孔長(L)和半角(α)。框的虛線表示模擬框在y和z方向上的邊界。與狹縫孔一樣,開口端周圍的氣體沿y軸的長度為3nm,大端的寬度決定了z方向的尺寸。沿軸向(即,y方向)的孔長度是有限的L,而在x方向上的尺寸在應用周期性邊界條件的情況下假定為無限。
純氣體吸附
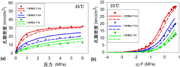
N2、CH4和CO2在活性炭上的吸附等溫線在T =25℃和高達6MPa的壓力下如圖2所示。為純氣體提供了I類等溫線。在環境溫度下,活性炭對二氧化碳的吸附優先于CH4,然后在N2壓力范圍內具有更高的吸附密度。楔形孔很好地預測了N2、CO2和CH4在25℃時的實驗數據,如圖2所示(b)。如圖2所示,狹縫孔的組合與CO2在25℃的實驗數據非常吻合。模擬等溫線和實驗數據顯示了連續的孔隙填充機制。如圖2所示,楔形孔對N2、CH4和CO2的吸附量少于狹縫孔。CH4和N2等溫線的行為類似于CO2等溫線的行為。由于與活性炭的相互作用較弱,CH4和N2的吸附量小于CO2。

圖2:純氣體N2、CH4和CO2在T=25℃時在活性炭上的實驗數據。用狹縫和楔形孔中的吸附等溫線預測數據:(a)絕對壓力和(b)對數標度的絕對壓力。
混合氣體吸附分離
對于二元吸附,壓力范圍為93kPa至6.077MPa。氣體混合物的實驗在T =25℃和壓力下,吸附量與氣體組成的函數關系如圖3所示。25℃的實驗數據顯示了活性炭的吸附量。然后在狹縫孔、楔形孔之間比較結果。可以對活性炭進行類似的討論。總吸附量隨CO2組成而增加,同時吸附CH4的量減少,這意味著CO2的吸附位競爭和優先吸附CH4。CO2具有比CH4更高的沸點,并且更可能表現為可冷凝水蒸氣,而CH4表現為超臨界氣體。與CH4相比,CO2的這種較小的揮發性增加了其對活性炭的吸附偏好。

圖3:混合氣體在T=25℃在狹縫孔、楔形孔中的吸附等溫線 和理想吸附在93kPa至6.077MPa的壓力范圍內的預測值,以及從它們的混合物中吸附的CO2和CH4。
活性炭模擬吸附細節
活性炭在吸附模擬細節中發現,溫度升高會導致選擇性降低。然而,選擇性隨著氣體混合物中二氧化碳的部分負載、壓力和CO2摩爾分數的增加而增加。在活性炭上的大部分CO2負載下可以清楚地看到高選擇性。CH4氣體在含有CO2的氣體混合物中具有低選擇性。原因是它在活性炭表面的分子間作用力比碳表面與CO2之間的分子間作用力弱分子。用模型計算和狹縫和楔形孔中的分子模擬也預測了選擇性。如圖4所示,在T=0和25℃,壓力高達1MPa時的計算結果和實驗數據。一般來說,狹縫和楔形孔可以在吸附分子之間相互作用至關重要的條件下,對氣體混合物的選擇性進行令人滿意的預測。模型無法預測選擇性,因為它沒有考慮吸附分子之間的相互作用。

圖4:在T =(a)0℃和(b)25℃時,在大約20%的二氧化碳在活性炭孔隙呢,CO2對CH4的選擇性與實驗數據。
活性炭用來分離與吸附二氧化碳,使用模擬純CO2、CH4、N2及其二元混合物的吸附等溫線,同時考慮均勻狹縫孔和楔形孔模型,以模擬真實的活性炭。使用所選活性炭的0和25℃的實驗數據對模擬結果進行了評估,并與以前的方法預測進行了比較。這項工作討論了對活性吸附位點的競爭以及由于更高的親和力,CO2相對于CH4的優先吸附。活性炭表示對CO2比CH4有更高的吸附量和選擇性,狹縫和楔形孔中的分子模擬可以很好地預測選擇性。
文章標簽:椰殼活性炭,果殼活性炭,煤質活性炭,木質活性炭,蜂窩活性炭,凈水活性炭.推薦資訊
- 2025-09-29活性炭吸附有機微污染物
- 2025-09-17活性炭去除對羥基苯甲醚
- 2025-09-09活性炭從水溶液中吸附苯酚
- 2025-08-27活性炭從水溶液中分離甲乙酮
- 2025-08-19活性炭對鈷離子的吸附與去除
- 2025-07-30活性炭用于強汞的去除
- 2025-07-23活性炭超聲輔助吸附黃金
- 2025-07-16活性炭載二氧化鈦協同去除二氯甲烷
- 2025-07-09活性炭從水中吸附脂多糖
- 2025-07-03活性炭凈化銅污染的生物柴油
- 2025-06-25活性炭從水中去除聚氯乙烯微塑料
- 2025-06-18活性炭對兩種濕地系統凈化效率的影響
