電話:13570151199
傳真:020-39972520
郵箱:hanyan@hanyancarbon.com
地址:廣東省廣州市番禺區東環街番禺大道北555號天安總部中心30號樓6層
活性炭加酸浸液從尾礦中回收鋅和銅
尾礦是通過分離過程(破碎、研磨或浮選)和其他物理化學技術處理礦物后留下的泥漿,使用活性炭回收目的是從價值較低的巖石中提取有價值的礦物。在世界范圍內,尾礦的生產速度為每年5至140億噸。礦山尾礦儲存也是一個重要的環境問題,尾礦粉塵的產生和擴散會污染空氣和周圍的土壤。此外,這些廢物中存在的金屬和可溶性鹽會污染地下水和地表水。目前工作的主要目的是研究兩種活性炭材料,從低品位尾礦廢物中浸出鋅和銅的用途,為了優化浸出條件,還研究了不同酸浸液濃度的影響。
鋅和銅的浸出方法
在攪拌恒溫槽進行浸出試驗,在浸出過程中控制溫度條件和攪拌速度。浸出實驗在硼硅酸鹽玻璃罐中進行,每小時對浸出系統充氣以在溶液中提供氧氣。所用浸出劑溶液由不同濃度的H2SO4制備:1M、0.5M和0.25M。在一系列實驗中,浸出劑由1M、0.5M和0.25M的H2SO4制備和1%H2O2。所用硫酸的純度為95-98%,在每個罐中稱量約2.5g活性炭樣品,并加入50mL浸出劑。在不同的反應時間(2、4和6小時),提取上清液的每個活性炭樣品1mL。取樣如下進行:首先,停止攪拌以讓樣品靜置并有利于其傾析。在這段短時間后,除去1mL上清液,然后過濾并轉移到25mL量瓶中,并用蒸餾水定容。使用原子吸收分光光度計測定浸出和洗滌溶液中鋅和銅的濃度。
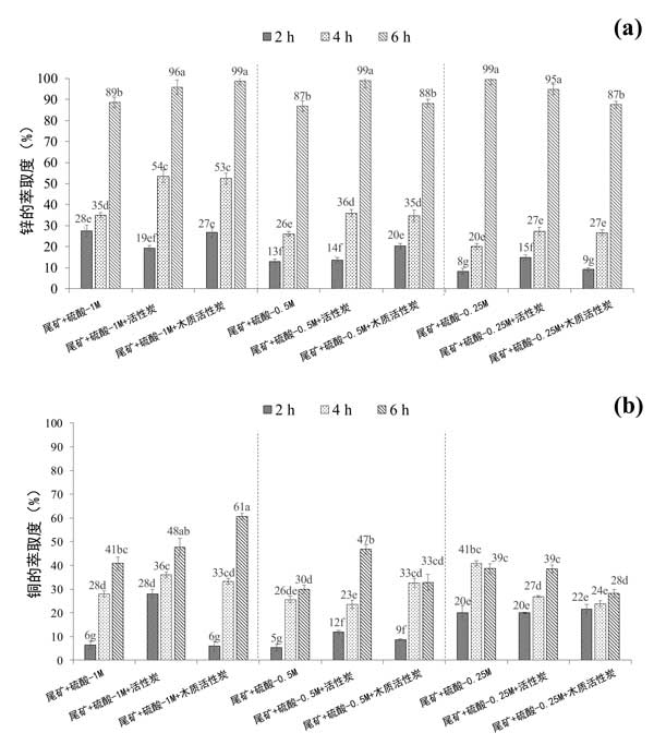
活性炭加H2SO4浸出液中鋅和銅的萃取率
圖1a顯示了2、4和6小時后從尾礦樣品中提取的總鋅。三種硫酸濃度(1M、0.5M和0.25M)用作浸出溶液。圖1a顯示,根據本工作中使用的實驗結果,浸出2小時后,從尾礦中提取的Zn量在8至28%重量之間變化。在浸出4小時后,鋅的提取量顯著增加至20至55%重量之間的值。從4到6小時,鋅的提取量顯著增加。在所有情況下,浸出6小時后,有可能回收超過70%(重量)的鋅。使用H2SO4-0.25M作為浸出劑,添加和不添加活性炭并使用H2SO4實現了較高的Zn提取在活性炭存在下為0.5M或0.1M。添加活性炭或木質活性炭會影響鋅的浸出。使用高濃度的H2SO4濃度(1M或0.5M),活性炭的添加顯著增加了Zn的提取量。然而,將木質活性炭添加到0.25M硫酸浸出液中會降低Zn的回收量。圖1b顯示了在不同時間從尾礦樣品中提取的總銅。木質活性炭的添加顯著增加了高濃度硫酸(1M)浸出溶液中銅的提取率,從41%增加到61%。

圖1:活性炭在4小時和6小時后鋅(a)和銅(b)的提取程度。
浸出實驗中的pH演變
在H2SO4-1M中用活性炭和木質活性炭處理的對照尾礦在圖2提供,(3a)中的pH變化,H2SO4-0.5M(3b)和H2SO4-0.25M(3c)浸出溶液。關于浸出實驗期間的pH演變,盡管活性炭顯示堿性pH,但在不存在或存在活性炭的情況下觀察到小的差異。選擇硫酸作為浸出液是因為它可以有效地選擇性溶解Zn化合物而不是Pb和Ca。相反,樣品中的氧化鉛和碳酸鹽會溶解在硫酸溶液中,然后以硫酸鉛的形式沉淀。然而,當在浸出液中加入活性炭時,氧化還原電位的下降幅度高于加入木質活性炭后。這一事實可能與碳基材料與系統中存在的氧化劑種類和礦物質之間的不同相互作用有關。事實上,觀察到在木質活性炭催化的黃銅礦浸出過程中氧化還原電位降低,并將這種影響歸因于礦物和木質活性炭在酸性介質中的電偶相互作用。

圖2:H2SO4-1M樣品中的pH變化(3a),H2SO4-0.5M(3b)和H2SO4-0.25M(3c)。
在目前的試驗中得到的主要結論,用H2SO4溶液浸出6小時后,可以從選定的尾礦中回收超過95%(重量)的鋅。添加活性炭和木質活性炭增加了濃硫酸溶液(0.5和1M)對鋅和銅的提取。盡管活性炭和木質活性炭之間的孔隙率和氧化還原電位值存在差異,但它們作為催化劑在鋅和銅浸出中的作用是相似的。后續也可以針對性優化活性炭的性能及其對尾礦中其他金屬回收的影響。在對于活性炭材料的潛在工業應用,有必要優化其從浸出液中的回收率和浸出實驗后的再利用。
文章標簽:椰殼活性炭,果殼活性炭,煤質活性炭,木質活性炭,蜂窩活性炭,凈水活性炭.推薦資訊
- 2025-10-10活性炭金屬改性對氫的吸附
- 2025-09-29活性炭吸附有機微污染物
- 2025-09-17活性炭去除對羥基苯甲醚
- 2025-09-09活性炭從水溶液中吸附苯酚
- 2025-08-27活性炭從水溶液中分離甲乙酮
- 2025-08-19活性炭對鈷離子的吸附與去除
- 2025-07-30活性炭用于強汞的去除
- 2025-07-23活性炭超聲輔助吸附黃金
- 2025-07-16活性炭載二氧化鈦協同去除二氯甲烷
- 2025-07-09活性炭從水中吸附脂多糖
- 2025-07-03活性炭凈化銅污染的生物柴油
- 2025-06-25活性炭從水中去除聚氯乙烯微塑料
