電話:13570151199
傳真:020-39972520
郵箱:hanyan@hanyancarbon.com
地址:廣東省廣州市番禺區東環街番禺大道北555號天安總部中心30號樓6層
活性炭催化降解鄰氯苯酚
二惡英統稱為多氯二苯并呋喃和多氯二苯并二惡英。環境中大約90%的二惡英是由人類工業過程產生的,主要來自垃圾焚燒、化學生產、金屬冶煉和造紙工業。不同來源的二惡英的排放機制和狀態差異很大。為此,二惡英已成為久性有機污染物減排的重點。由于二惡英比較危險,鄰氯苯酚因其結構相似性而被選為研究化合物。然后我們比較了不同方法改性的活性炭對鄰氯苯酚的催化降解性能。
活性炭催化活性可以通過用HNO3和NH3·H2O等基團修飾活性炭表面來提高。為了比較這些變化的活性炭催化性能,使用化學處理和金屬改性合成了兩種類型的碳基催化劑。在固定床反應器中對催化劑進行評估,并使用氣相色譜-質譜法檢測氣態產物。最后,根據拉曼、X射線光電子能譜和N2吸附-解吸等溫線分析的結果,提出了催化機制。
不同催化劑對鄰氯苯酚氧化的催化性能
催化試驗期間下游鄰氯苯酚濃度的演變如圖1a所示。如圖所示,鄰氯苯酚達到飽和需要40分鐘,完全滲透到催化劑中需要約60分鐘。最初,當溫度升高時,鄰氯苯酚信號急劇增加,但在30分鐘后變得平坦。這種現象在150到210℃的溫度下更為明顯,如圖1b所示。當溫度高于210℃時,這種現象不像以前那么明顯,這可能是由于高溫下鄰氯苯酚的去除作用。

圖1:(a)催化試驗期間下游鄰氯苯酚濃度的演變。(b)圖(a)150至210℃的局部放大率。
對于通過化學試劑和熱處理改性的活性炭,鄰氯苯酚氧化在270°C以下幾乎不發生。事實上,除了另外兩種催化劑活化的活性炭外,即使在330℃下,轉化率仍然低于25%。總體來說,原活性炭的催化活性相當不突出,氨水改性活性炭在330℃時將鄰氯苯酚轉化率提高到82.3%,而其他改性活性炭在該溫度下將鄰氯苯酚轉化率提高到93.3%。這些催化劑表明表面改性和金屬浸漬都可以提高活性炭的催化性能。具體而言,活性炭上的含氮官能團可以作為活性位點,盡管催化劑的催化活性相對高于含氮官能團。
活性炭的催化機理
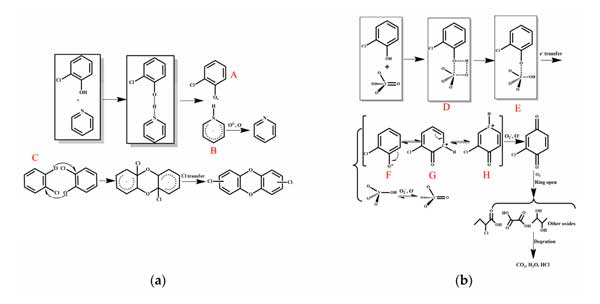
用含氮分子(如氨)處理活性炭可以引入氮官能團,而吡啶是最重要的此類物質。也就是說,SCR反硝化水平的提高與活性炭表面上存在更高比例的吡啶分子有關。然而,吡啶在催化機制中的作用仍不確定。吡啶具有富電子結構,其催化能力可能源于其氮原子的堿性。此外,二惡英的合成是自由基型反應,吡啶等富電子結構的存在會促進自由基的形成。基于上述分析,圖2a中提出了反應機理。在加熱下,吡啶上的氮原子從鄰氯苯酚上的酚羥基中奪取氫原子,生成自由基A。兩個自由基A分子的不同碰撞位點可以產生不同的聚合物產物。以圖2a中的途徑C為例,反應產生二氯PCDD。顯然,芳香環上羥基和氯基團的存在和位置導致形成不同的產物。途徑C可能是最不可能的情況,這就是為什么只觀察到少量的PCD產物。在分子氧的存在下,自由基C被氧化成吡啶。由以上論據可以推斷,當氮改性活性炭用于SCR催化反應時,尤其是在氯原子、苯環和氧存在的情況下,再生過程中可能存在二惡英合成和逸出的風險。
已經使用包括氯苯和多氯苯在內的模型物質提出了氧化的各種機制。鄰氯苯酚的氧化可能具有獨特的機制。基于本文提出的集體結果,提出了活性炭表面上鄰氯苯酚降解的反應機制(圖2b)。對于活性炭,鄰氯苯酚反應形成過渡態D,包括氧化釩和釩的雙鍵氧原子,其迅速轉變為E。隨后,發生電子轉移以形成帶正電荷的氧化合物F,將釩(V)還原為釩(IV)。請注意,化合物F、碳正離子G和H是共振形式。在分子氧存在下,H進一步氧化為鄰氯苯醌。鄰氯苯醌與氧發生開環反應,生成各種酸、醇和其他小分子物質,形成最終產物,如COx、H2O和HCl。釩(IV)可以被分子氧重新氧化,恢復原狀。

圖2:鄰氯苯酚氧化的反應機制,包括(a)氨改性活性炭和(b)其他改性活性炭。
活性炭催化降解鄰氯苯酚,研究測試中合成了一系列具有不同改性方法的活性炭基催化劑,并將其用作氣相降解鄰氯苯酚的催化劑。對于化學處理的催化劑,復合改性的活性炭催化效果略好于氨改性活性炭,在330℃時去除效率為82.3%。對于金屬改性催化劑,金屬改性活性炭和其他改性活性炭在330℃下表現出類似的去除效率性能,為93.3%。大多數催化產物被轉化為碳氧化物。鄰氯苯酚的完全氧化降解是通過金屬改性活性炭而不是氨改性活性炭實現的, 每種催化劑通過不同的反應機制運行。
文章標簽:椰殼活性炭,果殼活性炭,煤質活性炭,木質活性炭,蜂窩活性炭,凈水活性炭.推薦資訊
- 2025-10-10活性炭金屬改性對氫的吸附
- 2025-09-29活性炭吸附有機微污染物
- 2025-09-17活性炭去除對羥基苯甲醚
- 2025-09-09活性炭從水溶液中吸附苯酚
- 2025-08-27活性炭從水溶液中分離甲乙酮
- 2025-08-19活性炭對鈷離子的吸附與去除
- 2025-07-30活性炭用于強汞的去除
- 2025-07-23活性炭超聲輔助吸附黃金
- 2025-07-16活性炭載二氧化鈦協同去除二氯甲烷
- 2025-07-09活性炭從水中吸附脂多糖
- 2025-07-03活性炭凈化銅污染的生物柴油
- 2025-06-25活性炭從水中去除聚氯乙烯微塑料
