電話:13570151199
傳真:020-39972520
郵箱:hanyan@hanyancarbon.com
地址:廣東省廣州市番禺區東環街番禺大道北555號天安總部中心30號樓6層
近來,人類活動激增導致了農業廢物在環境中的增加。為了找到這些材料的新應用,我們研究了鐵含量(2.5,5,10和15%)對由椰殼制備的活性炭催化性能的影響。大多數時候,這些材料直接放在環境中,會導致有機物過度積累。雖然這種類型的污染物是可生物降解的,但其礦化需要漫長的時間。此外,由于人類活動較大,自然循環的難度越來越大。克服這個問題的一個有吸引力的選擇是使用固體廢物作為能源或原料來獲得高價值產品,如活性炭。它們可以從各種材料制備,如椰殼,木材,油,泥炭,焦炭,獸骨,種子,鋸屑,稻殼和聚合物。

由于活性炭的物理和化學性質穩定,高硬度,耐熱性,耐腐蝕性和導電性,對酸和堿的耐受性,還具有其功能基團這讓活性炭近年來引起了人們的關注。表面積,吸附離子的吸附性和高比表面積這些性質中的大多數可以在制備活性炭期間得到控制。由于這些特點,活性炭已經在很多領域中得到應用,例如在氣體或液體的吸附中或在化學品的回收和凈化中以及在燃料電池中儲存氫。此外,活性炭已經用作各種反應中的催化劑和載體,如乙苯脫氫,從工業廢水中去除苯酚和從殘留水中除去硝酸鹽或有機染料等等。
下面我們來看看鐵含量對活性炭的催化性能的影響,已經發現,鐵負載活性炭是一種有效的催化劑,以從水溶液中除去亞甲藍,通過過氧化氫的吸附和氧化的組合工藝。此外,負載磁赤鐵礦的活性炭通過吸附性,能有效地從水溶液中去除了人造紅。另一方面,負載鐵復合材料的活性炭能夠通過芬頓反應從水溶液中除去人造紅。本次研究用椰殼為原料來制備活性炭,通過用適當濃度的硝酸鐵水溶液浸漬活性炭得到催化劑,以在最終固體中達到2.5,5,10和15%的鐵含量。將系統保持攪拌(80rpm)2小時。該催化劑在120ºC干燥,24個小時,并加熱(10分鐘ºC - 1)在氮氣流下(100毫升分鐘- 1)高達450ºC,被保持在該溫度2小時。測試了鐵含量對椰殼活性炭的催化性能的影響。在去除亞甲藍時,評估催化劑,用作織物染料的模型化合物。
從實驗結果可以看出,如圖1所示,可以提出在活性炭上形成磁鐵礦粒子的途徑。假設磁鐵礦顆粒主要在支撐孔內部,加熱期間由浸漬的硝酸鐵形成。據信,由于起始材料中沒有Fe 2+物質,所以首先產生赤鐵礦。一段時間后,一氧化碳由活性炭生成,能夠將一些Fe 3+還原成Fe 2+物種生產磁鐵礦。然而,隨著還原應從表面開始,由于一氧化碳不可接近,一些赤鐵礦可能仍然作為顆粒中的核心。因此,所得顆粒由磁鐵礦包圍的赤鐵礦芯制成。

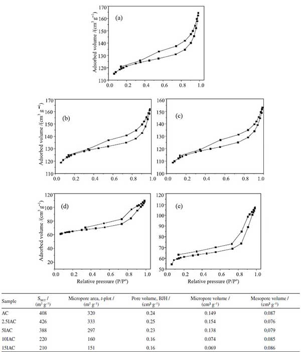
比表面積和孔隙率測量所有樣品都顯示了微孔和介孔材料典型的II型等溫線,具有磁滯回線,表明中孔中的毛細管冷凝,如圖2所示。表中顯示了樣品的主要結構特性。可以看出,含鐵量小的活性炭(2.5%和5%)的浸漬不影響其結構性質。這一發現表明,活性炭支持物的孔堵塞是可忽略的,與如圖1結果一致。然而,較高量的鐵(10%和15%)的活性炭導致比表面積大幅度下降,這與微孔面積和體積的減少密切相關。這證實了假設大多數氧化鐵沉積在孔內,其中它部分阻塞孔。
結論:從椰殼成功制備了具有不同鐵量(2.5,5,10和15%)的活性炭樣品,提供了減少環境中農業廢物的可能性。根據鐵的存在和數量,固體顯示不同的結構和還原性質。除了由赤鐵礦制成的鐵質不良樣品(2.5%)外,發現磁鐵礦顆粒具有赤鐵礦芯,其尺寸(28-34nm)隨固體鐵量的增加而增加。這些活性炭能夠從水溶液中除去高達88%的亞甲基藍,主要是通過被認為比芬頓反應更快的染料吸附。鐵15%的固體是最活躍的,這可以與表面上鐵的最高量相關聯,促進芬頓反應,并在活性炭表面形成能夠吸附亞甲藍的新官能團。這些活性炭催化劑的制備和使用可以有助于克服當前面臨的兩個問題:環境中有機廢物的減少和維護水資源的紡織品廢水凈化。
文章標簽:椰殼活性炭,果殼活性炭,煤質活性炭,木質活性炭,蜂窩活性炭,凈水活性炭.推薦資訊
- 2025-10-10活性炭金屬改性對氫的吸附
- 2025-09-29活性炭吸附有機微污染物
- 2025-09-17活性炭去除對羥基苯甲醚
- 2025-09-09活性炭從水溶液中吸附苯酚
- 2025-08-27活性炭從水溶液中分離甲乙酮
- 2025-08-19活性炭對鈷離子的吸附與去除
- 2025-07-30活性炭用于強汞的去除
- 2025-07-23活性炭超聲輔助吸附黃金
- 2025-07-16活性炭載二氧化鈦協同去除二氯甲烷
- 2025-07-09活性炭從水中吸附脂多糖
- 2025-07-03活性炭凈化銅污染的生物柴油
- 2025-06-25活性炭從水中去除聚氯乙烯微塑料
