電話:13570151199
傳真:020-39972520
郵箱:hanyan@hanyancarbon.com
地址:廣東省廣州市番禺區東環街番禺大道北555號天安總部中心30號樓6層
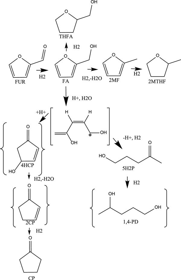
糠醛的氫化可產生一系列有價值的升級產品,例如糠醇(呋喃樹脂的重要單體),四氫糠醇(用于農業,清潔,涂料和脫漆劑的溶劑),2-甲基四氫呋喃和2-甲基呋喃(有望替代燃料)和環戊酮(航空燃料,橡膠化學品的前體)。所以糠醛在氣相和液相中的氫化反應需要重點研究。活性炭通常用作催化加氫的載體,因為它可以從可再生碳源合成,并且在酸性,堿性和水性環境中穩定。間歇式淤漿反應器通常使用粉末活性炭,滴流床反應器通常使用顆粒活性炭,但這些形式難以用于連續加工。因為相對于批處理工藝,它可以降低成本。粉末活性炭容易損耗,難以連續回收和再利用。滴流床系統中的高流速會導致較大的壓降,并且H 2如果使用大顆粒尺寸來最大程度地減小壓降,則內部和外部的傳質可能會受到限制。形成為載體的整料中的活性炭可以克服在連續加工中使用粉末和顆粒形式的問題。
本次研究與傳統的粒狀和粉末狀的活性炭相比,著重于使用金屬負載的活性炭整體催化劑對糠醛進行連續水相加氫。源自木質生物質的活性炭整料催化劑浸漬有貴金屬,并用于糠醛加氫反應。使用活性炭催化劑的優勢在于其低壓降,高傳質速率,高表面積/體積比和易于放大的優點是,整料是由可再生碳源制成的,并且它們是在水/酸/堿反應介質中高度穩定。使用活性炭整體催化劑在水性和酸性環境中進行連續糠醛加氫,以及低金屬負載量以實現高轉化率和時空產率,且浸出受限。盡管活性炭整料具有作為催化劑載體的獨特優點,但是關于使用這些結構化催化劑的信息很少,突出了它們的優點。
活性炭的催化反應
糠醛氫化反應在連續反應器系統中進行。液體和氣體向下流經不銹鋼管(內徑為1),并同時流經T型接頭。氣體流速由智能質量流量控制器控制。使泵將液體原料泵入反應器。將液體產物收集在不銹鋼容器中,該不銹鋼容器的冷卻套連接至7°C的水淋間。反應器溫度由瓦特爐和功率控制器控制。使用背壓調節器控制反應堆壓力。將活性炭整體式催化劑的核(4個核)包裹在特氟龍帶中,并裝入反應器的中心。這四個活性炭芯的包裝高度為4英寸(10厘米),總重量為15 g。為了確定連續反應器系統中糠醛加氫的合適條件,在120至180°C的溫度,300 psi(0.1–2.1 MPa)的大氣壓和0.5–16 mL/min的液體流速下進行了一系列實驗進行。進行反應以確定不同反應參數對活性炭產品分布的影響的順序如下:(1)測試變化的液體流速,(2)測試變化的壓力,(3)測試變化的溫度,和(4)乙酸的作用(圖1)。

圖1:使用活性炭催化劑進行糠醛加氫的生產時間分析,箭頭表示將乙酸添加到進料中的實驗。
溫度和壓力影響
由于使用活性炭整料進行糠醛連續氫化以合成糠醇,四氫糠醇和環戊酮的工作很少,我們希望確定溫度和壓力對選擇性和時空產率或轉化率的影響。因此,在一組實驗中,采用活性炭催化劑來確定溫度對糠醛氫化的影響。在所有溫度下,活性炭整料的糠醛轉化率均高于90%。活性炭整料的高碳封閉率是在180°C時達到的(約90%)。升高溫度會降低糠醇的選擇性,并提高除四氫糠醇以外的所有產品的選擇性(圖2)。

圖2:反應溫度對產物選擇性的影響。
液時空速效應
在下一組實驗中,確定了液體停留時間對糠醛加氫超過0.8%活性炭催化劑的影響(H 2氣流保持恒定在100 mL/min)。糠醛轉化率隨著液時空速的增加或停留時間的縮短而下降,碳封閉率在74%至100%之間。溫度,壓力和液體停留時間效應研究的結果表明,活性炭催化劑主要通過糠醛促進了糠醛中糠醇和2-甲基呋喃的形成,并通過推測性反應途徑促進了環戊酮和5-羥基-2-戊酮的少量形成,需要對酮進行酸催化)形成(圖3)。

圖3:在活性炭催化劑上使用鈀進行糠醛加氫。
活性炭鈀負載的效應
在具有多種產物的反應和副反應中,活性金屬顆粒的大小會影響產物的選擇性。過去使用鈀催化劑進行糠醛加氫的研究表明,產物分布可通過粒徑控制,產物選擇性的差異可歸因于金屬分散。考慮到鈀粒徑可能影響產物選擇性的可能性,制備了一系列具有較高鈀含量,較低分散度和較大粒徑的催化劑。最初,人們考慮通過增加H 2還原溫度來改變鈀的粒徑,并期望分散性的降低和粒徑的增加。但是,隨著H 2的增加,一系列的CO脈沖滴定還原溫度對活性炭上0.8 wt%鈀的影響很小,除了在高于350°C的溫度下。因此,決定在250°C下增加鈀的負載量并減少H 2。這些催化劑是通過將基礎活性炭載體壓碎并通過濕法浸漬負載鈀制備的。活性炭增加鈀的負載量確實會減少表面積,孔體積和金屬分散度。但是反應速率隨鈀載量的增加而增加。
活性炭上的鈀對糠醇,四氫糠醇和2-甲基呋喃表現出較高的選擇性,導致這些產品的時空產率高,同時金屬浸出和活性損失的百分率低,這使得該催化劑有希望替代普通的活性炭催化劑。活性炭整料沒有表現出對氫的外部傳質阻力,這導致其較低的焦化水平。反應介質中乙酸的存在不會影響使用鈀載活性炭催化劑的糠醛轉化率,這表明鈀載活性炭可用于處理粗糠醛。
文章標簽:椰殼活性炭,果殼活性炭,煤質活性炭,木質活性炭,蜂窩活性炭,凈水活性炭.推薦資訊
- 2025-10-10活性炭金屬改性對氫的吸附
- 2025-09-29活性炭吸附有機微污染物
- 2025-09-17活性炭去除對羥基苯甲醚
- 2025-09-09活性炭從水溶液中吸附苯酚
- 2025-08-27活性炭從水溶液中分離甲乙酮
- 2025-08-19活性炭對鈷離子的吸附與去除
- 2025-07-30活性炭用于強汞的去除
- 2025-07-23活性炭超聲輔助吸附黃金
- 2025-07-16活性炭載二氧化鈦協同去除二氯甲烷
- 2025-07-09活性炭從水中吸附脂多糖
- 2025-07-03活性炭凈化銅污染的生物柴油
- 2025-06-25活性炭從水中去除聚氯乙烯微塑料
